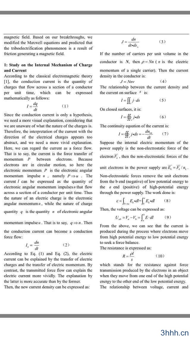
• ↓爱上码• i3m.cn/3178•爱扫码 欢迎关注
  • #二维码.cn立刻有#二维码.cn/i3m.cn/3178
  • wwew.cn/i3m.cn/3178 →• i.i3m.cn/3178•←
  • 二维→•ErWei.com.cn/i3m.cn/3178•←
  • 热点 | 中国科学家发现电荷并不存在,将改写教科书?!你被骗了: i3h.cn/3178
    二维码2017-05-07 01:57
    热点 | 中国科学家发现电荷并不存在,将改写教科书?!你被骗了

    从5月6日下午开始,一篇文章名为《重磅!中国科学家发现电荷并不存在,将改写教科书》的帖文在网上火了起来。文中称“来自中国云南大学的一名科学家凡伟发现电荷并不存在,这意味着我国的科学家即将改写全球的教科书,这是我国科学家的胜利!论文已通过国外专业机构和教授的评审,同时,论文已经预先发表在中科院的科技论文预发布平台 。”
    但事件很快就出现了反转。云南大学发出声明称“经查证,凡伟不是云南大学的师生”。网友向凡伟所称的外国专家求证,证实该论文并未通过评审。

    云南大学物理与天文学院发布的“严正声明”:
    近日互联网上有报道称来自云南大学物理与天文学院科学家凡伟发表了物理学方面的一些观点。经查证,报道中提到的凡伟不是云南大学的师生,特此声明!
                            云南大学物理与天文学院
                               2017年5月7日

    那么问题来了
    这样一篇广大网民肉眼都能辨别出来的、民间科学家写的、未经论证的论文,是如何发布在中科院的科技论文预发布平台上的呢?这究竟是个什么样的平台?平台上发布论文,需要经过审查吗?具备学术论文发表的效力吗?
    这名自称是云南大学科学家的90后小伙凡伟写的,题为《论电荷、电流、电场和磁场内在机制》的论文,2016年6月以全英文的形式发布于中国科学院科技论文预发布平台,共六页,作者单位是云南大学物理学院,同时发布的还有另一篇题为《新的运动力学原理研究:空间结构与重力模型》的论文。记者随手将论文原文下载,放进翻译软件,往往会被翻译的完全不通顺的自然科学学术论文,竟被翻译成了流畅的中文版本。

    时隔近一年后,真正让凡伟火起来的,是前天一个名为“青年传媒”的今日头条号发布的一篇名为《重磅,中国科学家发现电荷并不存在,将改写教科书》的帖文,多种信源显示,“青年传媒”的运营者正是凡伟本人。昨天上午,“青年传媒”更新了一篇题为《我是凡伟,没想到一夜成了网红,改写全球教科书我志在必得》的帖文,文中写道,因为在论文上留了QQ邮箱地址,目前其QQ和微信已被“加爆”,全国各地的人都在找他,甚至其手机至今都只能选择关机。另有媒体报道称,凡伟曾多次向媒体投稿进行自我炒作。目前,疑似凡伟自己运营的今日头条号“青年传媒”也已被关停。



    凡伟在自媒体平台更新信息称没想到自己成网红

    事件似乎已经尘埃落定,这就是一个民间科学家的自我炒作之路。
    但这么一篇文章是如何发布在被大众看来非常权威的“中科院”平台上的?这的到底是一个什么样的平台?

    经试验,在中科院科技论文预发布平台发布论文,首先只需要一个机构后缀的邮箱即可立刻注册成功,平台并不会核实所提供的单位是否属实,而在发布过程中,提交论文电子版后,平台就显示提交成功,正在对论文格式进行审核。而根据平台论文发布流程介绍,在格式审核完成后,即可公开发布在平台上。

    据了解,中国科学院科技论文预发布平台去年6月上线,主要为了解决科学家论文被“抢发”的问题,首先在平台上进行发布,即可保护学术成果的“首发权”。中科院文献情报中心主任黄向阳向记者解释了预发布平台中“预”的涵义。

    黄向阳:它是国际通行的,学术发表的时候,为了避免首发权被出版商掌握的这样一个学术共同体,做这样一个预出版的工作,“预”就是还没正式发表的文章。这是一个开放平台,他只要发,我们认为格式合格,就会把它公布在整个学术界,那么大家就可以对它进行同行评议。这个评议和期刊编辑部的评议是两个概念,这个就是接受更广泛的公众的监督和公众的评议。
    原来“预发布”并不等同于学术期刊“公开发表”的概念,“预发布”某种意义上只相当于给学术期刊送审这一环节,之后接受的是学术界广泛、公开的评审,被期刊审核通过后,才会公开在期刊上发表。
    黄向阳:绝大部分的文章都是发表之前的状态,他的文章还要经过期刊编辑的编辑,对他的观点等等进行审核,同行评议。
    那诸如凡伟的这种禁不住学术推敲、甚至被吐槽的论文发布在平台上,出现这样的问题该如何解释?黄向阳表示,公众要理解,开放的学术共同体平台,它的理念和学术期刊是不一致的。
    黄向阳:一个开放的平台,它的理念并不是说我有很强大的审核能力,比如我掌握大量的信息,我知道这个人是哪个大学之类等等。我们的预出版平台在平台的申明、平台的规则上面,学术界大家都是了解的,公众确实有可能不了解,避免大家的误会,(向公众传播)也是非常必要的。

    中科院文献情报中心副主任张智雄也表示,平台是本着相信广大学者会秉承严谨治学的态度,同时也提醒发布论文者需要慎重。
    张智雄:在这种开放的力量下,我们要求作者非常慎重地提交论文,对论文中所提交发布内容的真实性、准确性负责,这在我们平台的声明当中是有的。
    同时,张智雄也表示,对于凡伟的论文,平台将会立刻作出处理。
    张智雄:当然这篇论文,就云南大学的声明来看,作者的身份造假,不符合我们的要求,我们正在商量,怎么对这篇论文进行撤销、处理。
    那么,未来如果再次出现作者单位、基本学术常识都是杜撰的论文,还能在平台上发布吗?张智雄表示,未来,平台要提升审核能力。

    张智雄:当然,我们要多加强审核。国际上通行的做法是,看论文作者、单位,论文合不合规,是不是研究型论文,后边发布的东西都是作者要自己负责的。
    凡伟声称“将会改写全球教科书,成为中国科学家的胜利”的论文,就这样要被下架了,但这并不意味着我们所有的民间科学家都将被一棍子打死。这起事件更给所有民间科学家甚至身居学术界的学者、科学家一记警钟:科学需要严谨的态度,一个开放的平台,更需要学者的自律。
    在结束黄向阳主任、张智雄副主任采访后,仅过去几个小时,中科院科技论文预发布平台官方网站深夜在首页发布声明,称“鉴于凡伟未保证其论文发布所属机构名称的真实性、准确性,平台停止对其预发布论文的服务、撤销其论文,并将其列入非诚信作者名单。”
    同时,声明再次提醒全国科研人员,在平台上发布的论文将会被科学界最大范围地开放获取和阅读。从某种意义上来说,将受到更为严格的、有形或无形的“同行评议”。在这种“开放”力量下,论文提交者应更加注重发布内容的真实性和准确性,更加慎重地向平台提交论文。

    热点 | 中国科学家发现电荷并不存在,将改写教科书?!你被骗了

    微信用广告: wxygg.cn/w1842729


    凡伟在自媒体平台上发布自己的“新发现”
    青年传媒 05-06  原文:
    重磅,中国科学家发现电荷并不存在,将改写教科书

    一直以来,我们都认为存在正负电荷,并且,同种电荷相互排斥,异种电荷相互吸引,电荷的定向移动产生电流,这似乎早已经被视为恒古不变的真理,并在教科书中我们世代相传。
    但是,根据最新消息,来自中国云南大学的一名科学家(凡伟)发现电荷并不存在,经过一个多月的同行评审,相关论文和实验已经通过剑桥大学卡文迪许实验室,1973年诺贝尔物理学奖获得者约瑟夫森教授的评审。
    这意味着我国的科学家即将改写全球的教科书,这是我国科学家的胜利,也是基础物理学的胜利。
    同时,论文已经预先发表在中科院的科技论文预发布平台《chinaXiv》,

    已发表论文截图

    凡伟,拍摄于云大“泽湖”

    根据记着采访到,凡博士如是说:“小时候第一次做摩擦起电现象实验,当时就深深的着迷,直到初二学习物理学时,才知道这是正负电荷的作用;可是,为什么同种电荷会相互排斥?异种电荷会相互吸引?这感觉像存在上帝一样神奇,没有人能解释,抱着这样一颗好奇心,从此走上了研究物理学这条道路”
    自己也没真正想过成为一名科学家,只是想解开童年的困惑,想弄清楚电荷背后的本质是什么?迸发电荷不存在的第一个想法是在2011年,当时我就把这个想法与雷啸霖院士讨论,获得了他极大的支持,一直鼓励我“坚持探讨、不要放弃”,不可否认,雷老对我有知遇之恩的;
    当时我还把这个想法与其它老师讨论,他们大多都认为我异想天开,胡思乱想,根本不可能的事。当然,这其中,另外一个最要感谢的人是浙大沈建其教授,对于这个问题,我跟他就讨论了三四年,600多封邮件,电话、微信什么的就不多说了,根本说不过来,也曾多次劝他跟我一同署名发表,他每次都毅然决然的拒绝了,都认为想法是我的,其实他的贡献非常大,他是实实在在的第二作者。
    最终,我还是成功了,验证了我的猜想。
    这个电荷不存在,跟当年的“日心说”、“热质说”是一样的,大家凭眼睛和直觉,根本是不会相信的,因为我们每天看到的都是太阳围绕地球运动的“东升西落”,根本不是地球围绕太阳运动,并且在当时,认为会认为,即便退一步,如果说地球在围绕太阳运转,那么,为什么我们感觉不到地球在运动呢?每个人都可以看到的事实,你却说是错的,大家是不会相信你的。
    还有“热质说”,18世纪以前,人们看到热都认为存在一种“热质”或“燃素”,因为人们看到了火焰和感觉到了热,直观的就觉得应该存在“热质”,是热质的存在导致我们感觉到温暖,直到后面,人们才发现,其实并不存在热质,热只是运动的一种表现形式,温度是空气分子之间的碰撞速率。
    今天,同样的,我们发现:“电荷也是不存在的,电荷只是电子运动的一种表现形式,并不作为某种特殊的客体而存在,电子只是作为一种普通的粒子存在,并不具有电荷,正负电荷所谓吸引和排斥现象,是完全可以用磁去解释的,因为摩擦起电现象是摩擦产生磁场,可以随便去做实验,在强磁场就能观察到摩擦起电现象。
    比如说:传统的教科书都告诉我们,摩擦产生了电荷,电荷产生了静电场,静电场是单极场,这其实完全是错的,摩擦产生的是偶极磁场,根本不是单极场,所以,传统的教科书说那些,根本就是在误导学生。这些实验细节都经受了约瑟夫森教授的审核的。
    还有,电流并不是电荷产生的,电流是电子之间线性碰撞产生的力流,这样我们就解释了电的本质。
    即便如此,我相信,这个新发现接受起来还需要一定的时间和过程,希望我的新发现能像解开我童年困惑一样,解开大家童年的困惑,让我们的孩子不会在为这些物理问题犯难。
    谢谢!
    论文截图:
    1个回复, 0个喜欢
    评论1 来自于:二维码
    2017-05-08 13:45   0人喜欢
    而记者也于5月7日获得了云南大学的回复,声明称:云南大学物理与天文学院科学家凡伟发表了物理学方面的一些观点,经查证,报道中提到的凡伟不是云南大学生师生。

    云南网独家对话凡伟:“我获得诺奖只是时间问题”云南网:你是云南大学的吗?
    凡伟:我不是云南大学的,太复杂了,一言难尽。我已经跟云南大学的领导解释过了,只是借用云南大学的名头。因为我想发表论文,现在我没有话语权,国内的学术歧视比较严重,投稿总是被退,我就用了云南大学的名义。但是我自己写的论文全部属实。如果我的发现被科学共同体认可,我也会去云大物理系任教,我会把云大建成当代物理学的中心。严格地说,我就是大家眼中的:“民科”!除了我的出身有问题,其它均是事实,我愿意为我说的话负法律责任。

    云南网:能说说你的情况吗?
    凡伟:我是云南宣威东山镇人,我现在在做一个广告方面的工作。今年24岁。从小立志改变社会,初中时就立志考清华、留剑桥,并立志读书期间三不谈:不谈恋爱、不谈身边琐事、不谈金钱,并且也做到了。踏入高中第一天,我就志在清华,但是读了几个月后,我就后悔了,在学校根本学不到任何有用的东西,整天就是为了考试而考试,完全是浪费时间,我痛恨极了应试教育制度,我感觉再这样下去,我就废了,离我的理想越来越远了,继续读下去,我会考上好的大学,找份好的工作,但是我的理想没法实现,整整经过几个星期的冷静思考,我决定退学自学。所以我给自己取了一个座右铭:“人生在世终须死,不尽吾质怎肯修?”

    云南网:你说你最大的梦想是站在诺贝尔领奖台上向女友求婚,你觉得你能实现你的梦想吗?
    凡伟:我小时候的梦想就是考上清华大学,但是上了高中以后我感觉我学的东西只是为了考试而考试,但是我觉得我要去做一点点有意义的事,我就为了我的梦,决定不上学了,用十年的时间来自学,后来我就泡图书馆了。我其实最大的梦想就是改变应试教育,但我没有话语权。我不只学物理学。但是这是我的特长,我在物理学方面是很有天赋的。所以,我获得诺奖只是时间问题。说我最大的梦想是站在诺贝尔领奖台上向女友求婚,其实这话大家更喜欢听嘛。

    云南网:你通过什么样的方式在实现你的梦想呢?
    凡伟:因为小时候对磁铁,还有摩擦起电现象比较好奇,所以就想到去解释这两个问题,因为这是物理学的基础,只要解释了,肯定能拿诺奖的。
    我一直在写论文投稿。我2010年出来,2011年就在写论文,一直投稿投到今天。那时我才18岁。我很想能在24岁就获得诺奖,因为目前世界上最年轻的诺奖获得者是25岁,所以我就想自己能在这个岁数之前获得诺奖,如果时间超过了就没有意思了。我就是想刷新一下诺奖的获得年龄。


    云南网:你为什么有这样的自信?
    凡伟:可能美丽的谎言没有人相信,但是中科院院士看了都很支持我的。还有1973年诺贝尔物理学奖获得者约瑟夫森教授也肯定了我的论文。我可以确定的说他们给过我的回复,回复和跟我讨论过的有二、三十个,这些是有截图的,外国中国都有,外国人我是借助翻译软件沟通的。


    云南网:网友质疑你就是想出名,你怎么想?
    凡伟:我觉得这是可以的,我想扩大影响力,改变教育制度。我没有办法发表论文嘛,我才借助媒介,有人说我亵渎科学,科学怎么可能被亵渎,我现都收到退稿200多封了,但我天天都在利用业余时间做,那个视频也是印证了我的论文的物理实验。


    云南网:你以云南大学的名义发表论文有没有想过负法律责任?
    凡伟:我向云大道歉。这次以云大物理系名誉发表论文,其实我早有准备,我知道会被人肉出来的,所以,我想借此次机会纠正这种扭曲的社会价值观,国人的科学普及率那么低,竟然有那么大的学术歧视问题,我想问的是:“民科怎么了?”我承认,民间科学家确实没有经受系统的科学训练,写出来的论文专业水平不行,但是他们的科学想法就低人一等吗?

    云南网:你肯定自己的梦想能实现吗?
    凡伟:完全可以的,没有问题。

    小伙称"发现电荷不存在"将获诺奖 遭网友集体打假
    http://society.yunnan.cn/html/2017-05/07/content_4815618.htm
  • 二维码 ↓ 热点 | 中国科学家发现电荷并不存在,将改写教科书?!你被骗了
  • i3h.cn/3178爱3好谢谢分享
  • 二维码.cn:↑i.i3h.cn/3178
  • 葩葩搜:paps.cn/3178需登录i3h.cn
  • 搜一搜.cn/检索词/'手机号'/样式新帖
  • Soys.cn/3178/15359936221/祝福语
  • 二维码 • Uid:2↑搜一搜•Tid:Soys.cn/3178

  • w.联系.cnOQRC.com/ii地址g.iidz.cn/15359936221

    内容正在加载中,请稍候……

  • 楼主:二维码的地址↓E空间网: →ekjw.com/u2 ↓
  • 扫一扫.cn→:私信 u2←二维码.cn
  • 二维码.cn↓E科教网↓ ekjw.com/u2
  • 二维码.cn↑名片 w.ekjw.com/u2 ←微看见友
  • 二维码.cn楼帖: 热点 | 中国科学家发现电荷并不存在,将改写教科书?!你被骗了
  • 链接.cn原pc版→qrmi.cn/3178
  • 扫一扫.cn名本•i3好→i3h.cn/3178
  • 偶集到记事易及微博等
  • 2wm.com.cn#二维码.cn立刻有#
  • iidz.cn/zp•照片
  • 搜一搜.cn:Soys.cn易项目网:Exmw.cn
  • Bsss.cn•必上搜索鸣谢.cn:httt.cn/鸣谢
  • 微网话题王wwHTw.cn/名单印发介绍
  • 国搜推介.cn:i3h.cn/5667
  • httt.cn/检索搜一搜.cn•soys.cn建站易:jz1.com
  • 微博客户端@第一建站网#MADV全景#
  • i三好→ 下载app